[コンプリート!] ã fq tBM A 926671
O Non Plus Ultra Do Lunario E Pronostico Perpetuo Geral E Particular Para Todos Os Reinos E Provincias
'"ã 'fq tBM A
'"ã 'fq tBM A-



An Improved Region Growing Algorithm For Phase Correction In Mri Ma 16 Magnetic Resonance In Medicine Wiley Online Library



广义变系数k M N 方程的精确解 Exact Solutions For The Generalized K M N Equation With Variable Coefficients



Munson Fundamentals Of Fluid Mechanics 5th Chap8 Exercicios Resolvidos Do Capitulo Docsity



Gmd Automated Monte Carlo Based Quantification And Updating Of Geological Uncertainty With Borehole Data Autobel V1 0



R Check Existence Of Today S File And If It Doesn T Exist Download It Stack Overflow



Pdf Implied Volatilities For Mean Reverting Sabr Models



Teach Yourself Bengali Pdf Txt



Unveiling The Spatial Distribution Of Molecular Coherences At Conical Intersections By Covariance X Ray Diffraction Signals Pnas



The Coc Protocol And Blood Cancer Care Oncology



Atti Plants Plants Cryptogamia Mycology 491 Ii 00 Cd Co A O A Ta M 1 M F T H Co Ci 1a1 Lt M M Io Oo O Im M Cu



A Generalization Of Partial Least Squares Regression And Correspondence Analysis For Categorical And Mixed Data An Application With The Adni Data Biorxiv



O Al2es Of O 59ae C I2 T N Me Aepuassc Uthm0 7v F J Q Flickr



Recent Advances On Graphene Microstructure Engineering For Propellant Related Applications Liu 21 Journal Of Applied Polymer Science Wiley Online Library



Portuguese Orthography Wikipedia



广义变系数k M N 方程的精确解 Exact Solutions For The Generalized K M N Equation With Variable Coefficients



C D Colonisation High Resolution Stock Photography And Images Alamy



Linear Dynamic System Identification Springerlink



Candidate Io From Homomorphic Encryption Schemes Springerlink



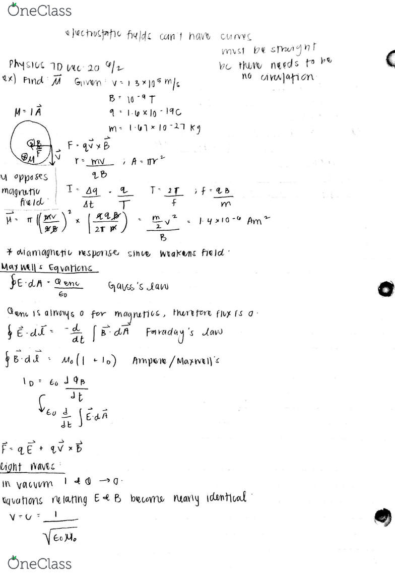
Physics 7d Lecture 19 Lecture 19 Oneclass



Smartpress Home



Unveiling The Spatial Distribution Of Molecular Coherences At Conical Intersections By Covariance X Ray Diffraction Signals Pnas



Shape Changes And Budding Of Giant Vesicles Induced By An Internal Chemical Trigger An Interplay Between Osmosis And Ph Change Physical Chemistry Chemical Physics Rsc Publishing



Dynamics Of Modified Improved Boussinesq Equation Via Galerkin Finite Element Method Karaagac Mathematical Methods In The Applied Sciences Wiley Online Library



Nanomaterials Free Full Text From Single Core Nanoparticles In Ferrofluids To Multi Core Magnetic Nanocomposites Assembly Strategies Structure And Magnetic Behavior Html



Dynamics Of Modified Improved Boussinesq Equation Via Galerkin Finite Element Method Karaagac Mathematical Methods In The Applied Sciences Wiley Online Library



Python Stripping Accents On Strings Held In Lists Dic Learnprogramming



Http Static Youarethemodel Com Glasses Fitsource Glslv3 Bin Any Run Free Malware Sandbox Online



Exam 1 Solutions For Applied Linear Algebra Math 310 Docsity



Water Free Full Text Simplified Spectral Model Of 3d Meander Flow Html



An Improved Region Growing Algorithm For Phase Correction In Mri Ma 16 Magnetic Resonance In Medicine Wiley Online Library



How To Solve Unicode Encoding Issues



P Wiktionary



O Non Plus Ultra Do Lunario E Pronostico Perpetuo Geral E Particular Para Todos Os Reinos E Provincias



Exercise 4 2 You Will Determine Constants C1 C2 Chegg Com



Q Wiktionary



Der Zauber Des Elelescho Y S B A A P Quot Vj S Quot A S S O G Tj S W W O 3



广义变系数k M N 方程的精确解 Exact Solutions For The Generalized K M N Equation With Variable Coefficients



Marine Vehicle Dynamics And Control Ppt Download



Mojibake Wikipedia



Math Desktop Background Posted By Samantha Sellers



练习 人才选拔大赛颁奖典礼执行方案下载 Word模板 爱问共享资料



Cis Regulatory Evolution Integrated The Bric A Brac Transcription Factors Into A Novel Fruit Fly Gene Regulatory Network Elife



Cross Linguistic Studies Part Iii The Emergence Of Phonology



Curve And Surface Construction Based On The Generalized Toric Bernstein Basis Functions In Open Mathematics Volume 18 Issue 1



A Point Of Care Lateral Flow Assay For Rapid And Colorimetric Detection Of Interleukin 6 And Perspectives In Bedside Diagnostics Maplespub



Teach Yourself Bengali Pdf Txt



Fluids Free Full Text The Effect Of A Variable Background Density Stratification And Current On Oceanic Internal Solitary Waves Html



Lorentz Force Wikipedia



Errors And Error Analysis Lecture 2 Ppt Download



Tygsm 1uluzlmm



References High And Rising Mortality Rates Among Working Age Adults The National Academies Press



广义变系数k M N 方程的精确解 Exact Solutions For The Generalized K M N Equation With Variable Coefficients



Fluids Free Full Text The Effect Of A Variable Background Density Stratification And Current On Oceanic Internal Solitary Waves Html



Solucionario Munson Capitulo 2 Docsity



M Wiktionary



Transformation Matrix With Respect To A Basis Video Khan Academy



Confidence Intervals For Rlcg Cell Influenced By Coloured Noise Emerald Insight



Semantic Fisher Scores For Task Transfer Using Objects To Classify Scenes



A Quot O A Q Pq A Ti A V Tc Tp A Ryj As S Aj 5 Ro A I I M A J Fa A I J Yi A Kl A



Unveiling The Spatial Distribution Of Molecular Coherences At Conical Intersections By Covariance X Ray Diffraction Signals Pnas



Theoretical Study Of Fine And Hyperfine Interactions In N3 N3 And N3 The Journal Of Chemical Physics Vol 119 No 18



Q Wiktionary



American Society For Clinical Pharmacology And Therapeutics 21 Clinical Pharmacology Amp Therapeutics Wiley Online Library



Time Asymmetric Forc Diagrams A New Protocol For Visualizing Thermal Fluctuations And Distinguishing Magnetic Mineral Mixtures Berndt 18 Geochemistry Geophysics Geosystems Wiley Online Library



K Gt C0 Gt F Oi I Clsc Gt 3 Co C3 A A Cd 00 A O A A Ia A D Eo Hj So 00 00 Ts Ta Ia W 1 Tra Ox 0 Gt I Ll Gt To O



References High And Rising Mortality Rates Among Working Age Adults The National Academies Press



I7770base Point Of Sale Base Station User Manual Xls Ingenico



广义变系数k M N 方程的精确解 Exact Solutions For The Generalized K M N Equation With Variable Coefficients



Pdf The Methodology Of Tafsir Al Ishari Al Alusi As A Model



A Practical Approach To The Secure Computation Of The Moore Penrose Pseudoinverse Over The Rationals Springerlink



Bla Tter Fa R Aquarien Und Terrarien Kunde N O O 0 A R A A S Crq N Gt C Ta Quot 3 C 3 0 A C R 5 O



Pdf Effect Of Polyethylene Glycol As Adjuvant On Hepatitis B Virus Dna Vaccine In Vitro



广义变系数k M N 方程的精确解 Exact Solutions For The Generalized K M N Equation With Variable Coefficients
コメント
コメントを投稿